Teknologi ramp generator terus berkembang dengan pesat. Perkembangan terbaru dalam teknologi ini memungkinkan dihasilkan sinyal ramp dengan presisi dan stabilitas yang tinggi. Hal ini membuka peluang baru untuk penggunaan sinyal ramp dalam berbagai aplikasi yang lebih kompleks.Ramp generator merupakan suatu rangkaian elektronik yang menghasilkan sinyal berbentuk ramp (gigi gergaji) atau segitiga. Sinyal ramp memiliki karakteristik kenaikan atau penurunan tegangan secara linear seiring waktu. Bentuk sinyal ini memiliki banyak kegunaan dalam berbagai bidang, seperti sistem pewaktu, pengendali daya, sistem konversi data, dan penyapuan (scanning). Penggunaan sinyal ramp semakin luas dalam berbagai bidang teknologi. Dalam sistem pewaktu, sinyal ramp digunakan untuk memicu kejadian pada saat tertentu berdasarkan kemiringan ramp. Pada pengendali daya, sinyal ramp digunakan untuk mengatur daya secara bertahap pada rangkaian tertentu. Dalam sistem konversi data, ramp generator digunakan dalam konverter analog-digital (ADC) untuk menahan sinyal analog selama konversi. Dan pada sistem penyapuan, sinyal ramp digunakan untuk melakukan penyapuan berkas elektron pada layar monitor atau peralatan lainnya.
Osiloskop adalah alat ukur elektronika yang berfungsi memproyeksikan bentuk sinyal listrik. Osiloskop dilengkapi dengan tabung sinar katode. Peranti pemancar elektron memproyeksikan sorotan elektron ke layar tabung sinar katode.
2. DC Voltmeter
DC Voltmeter merupakan alat yang digunakan untuk mengukur besar tengangan pada suatu komponen. Cara pemakaiannya adalah dengan memparalelkan kaki2 Voltmeter dengan komponen yang akan diuji tegangannya.
Berikut adalah Spesifikasi dan keterangan Probe DC Volemeter
3. Power Supply
Power Supply atau dalam bahasa Indonesia disebut dengan Catu Daya adalah suatu alat listrik yang dapat menyediakan energi listrik untuk perangkat listrik ataupun elektronika lainnya.
.
b. Komponen
1. Resistor
2. Transistor NPN
Transistor merupakan salah satu Komponen Elektronika Aktif yang paling sering digunakan dalam rangkaian Elektronika, baik rangkaian Elektronika yang paling sederhana maupun rangkaian Elektronika yang rumit dan kompleks. Transistor pada umumnya terbuat dari bahan semikonduktor seperti Germanium, Silikon, dan Gallium Arsenide.
3. Dioda
Spesifikasi
Untuk menghantarkan arus listrik ke satu arah tetapi menghambat arus listrik dari arah sebaliknya. Oleh karena itu, Dioda sering dipergunakan sebagai penyearah dalam Rangkaian Elektronika. Dioda pada umumnya mempunyai 2 Elektroda (terminal) yaitu Anoda (+) dan Katoda (-) dan memiliki prinsip kerja yang berdasarkan teknologi pertemuan p-n semikonduktor yaitu dapat mengalirkan arus dari sisi tipe-p (Anoda) menuju ke sisi tipe-n (Katoda) tetapi tidak dapat mengalirkan arus ke arah sebaliknya.
4. Relay
Spesifikasi
Konfigurasi pin
Relay merupakan komponen listrik yang mempunyai 2 bagian yaitu, kumparan dan poin. Secara garis besar relay berfungsi untuk mengendalikan dan mengalirkan listrik.
d. Motor DC
Spesifikasi
Pinout
Grafik Respons:
Motor DC alat yang mengubah energi listrik DC menjadi energi mekanik putaran. Sebuah motor DC dapat difungsikan sebagai generator atau sebaliknya generator DC dapat difungsikan sebagai motor DC.
5. Kapasitor
menyimpan energi dalam medan listrik dengan mengumpulkan ketidakseimbangan internal muatan listrik.
6. Touch Sensor
Touch sensor merupakan sebuah monitor yang sensitif terhadap sentuhan dan tekanan (resistif), sehingga perangkat ini memiliki dua fungsi yaitu, sebagai perangkat output karena menampilkan informasi dan input karena menerima informasi. Sensor Sentuh adalah sensor elektronik yang dapat mendeteksi sentuhan. Sensor Sentuh ini pada dasarnya beroperasi sebagai sakelar apabila disentuh, seperti sakelar pada lampu, layar sentuh ponsel dan lain sebagainya.Tubuh manusia memiliki Panca Indera yang berfungsi untuk berinteraksi dengan lingkungan di sekitarnya. Konsep yang sama juga diterapkan pada mesin atau perangkat elektronik/listrik agar dapat melakukan interaksi dengan lingkungan disekitarnya. Oleh karena itu, berbagai jenis sensor pun diciptakan untuk melakukan tugas tersebut. Salah satu sensor tersebut adalah Sensor Sentuh atau Touch Sensor.
Sensor Sentuh adalah sensor elektronik yang dapat mendeteksi sentuhan. Sensor Sentuh ini pada dasarnya beroperasi sebagai sakelar apabila disentuh, seperti sakelar pada lampu, layar sentuh ponsel dan lain sebagainya.Tubuh manusia memiliki Panca Indera yang berfungsi untuk berinteraksi dengan lingkungan di sekitarnya. Konsep yang sama juga diterapkan pada mesin atau perangkat elektronik/listrik agar dapat melakukan interaksi dengan lingkungan disekitarnya. Oleh karena itu, berbagai jenis sensor pun diciptakan untuk melakukan tugas tersebut. Salah satu sensor tersebut adalah Sensor Sentuh atau Touch Sensor.
Pin Out
Spesifikasi
Grafik Respon Sensor Touch
7. Baterai
Spesifikasi:
Input voltage: ac 100~240v / dc 10~30v
Output voltage: dc 1~35v
Max. Input current: dc 14a
Charging current: 0.1~10a
Discharging current: 0.1~1.0a
Balance current: 1.5a/cell max
Max. Discharging power: 15w
Max. Charging power: ac 100w / dc 250w
Jenis batre yg didukung: life, lilon, lipo 1~6s, lihv 1-6s, pb 1-12s, nimh, cd 1-16s
Untuk membuat rangkaian ini, pertama, siapkan semua alat dan bahan yang bersangkutan, di ambil dari library proteus
Letakkan semua alat dan bahan sesuai dengan buku/ebook/pdf referensi dimana alat dan bahan terletak.
Tempatkan posisi letak nya dengan gambar rangkaian
Selanjutnya, hubungkan semua alat dan bahan menjadi suatu rangkaian yang utuh
Lalu mencoba menjalankan rangkaian , jika tidak terjadi error, maka motor akan bergerak yang berarti rangkaian pada One shot multivibrator dengan trigger positif
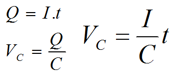
Prinsip yang digunakan adalah prinsip pada kapasitor. Kapasitor bekerja dengan cara menciptakan perbedaan potensial di antara dua konduktor yang sering dinamakan ‘lempengan’ yang dipisahkan oleh materi insulasi yang dinamakan dielektrik, sehingga muatan-muatan yang sama tetapi berlawanan membentuk lempengan-lempengan yang berlawanan, membentuk bidang listrikdisepanjang kapasitor.
Semakin luas area lempengan, dan semakin kecil celah antara lempengan-lempengan, maka semakin tinggi kapasitansinya. Sebuah kapasitor bisa dialiri dengan cara menghubungkan lempengan-lempengan dengan konduktor lainnya, tetapi dikarenakan voltase tinggi yang bisa lempengan-lempengan itu ciptakan, lempengan-lempengan itu sering dihubungkan dengan materi resistif tinggi untuk alasan keamanan.
Tampilan pada oscilloscope pada saat dijalankan
Aplikasi ramp generator
Prinsip yang digunakan adalah prinsip pada kapasitor. Kapasitor bekerja dengan cara menciptakan perbedaan potensial di antara dua konduktor yang sering dinamakan ‘lempengan’ yang dipisahkan oleh materi insulasi yang dinamakan dielektrik, sehingga muatan-muatan yang sama tetapi berlawanan membentuk lempengan-lempengan yang berlawanan, membentuk bidang listrikdisepanjang kapasitor.
Semakin luas area lempengan, dan semakin kecil celah antara lempengan-lempengan, maka semakin tinggi kapasitansinya. Sebuah kapasitor bisa dialiri dengan cara menghubungkan lempengan-lempengan dengan konduktor lainnya, tetapi dikarenakan voltase tinggi yang bisa lempengan-lempengan itu ciptakan, lempengan-lempengan itu sering dihubungkan dengan materi resistif tinggi untuk alasan keamanan.
Rangkaian di atas merupakan sebuah rangkaian ramp generator yang di aplikasikan/dipasangkan ke sebuah sensor touch, ketika sensor menerima sentuhan, sehingga menyebabkan logicstate berlogika 1, yaang menandakan ada tegangan input (Vin) sebesar 5V mengalirkan arus ke R1, kemudian masuk ke kaki inverting dari Amplifier. kemudian menghasilkan tegangan output (Vout) sebesar 11V kemudian tegangan Vout diumpankan ke R4, sehingga arus mengalir ke rangkaian fixed bias/terminal base dari transistor. Sehingga menyebabkan transistornya aktif, transistor aktif ditandai dengan nilai VBE >0,7V, disitu terlihat nilai VBE sebesar 0,76V karna transistornya on maka ada arus mengalir ke R3 lalu ke base lalu ke emitor dan berakhir di ground, ada juga arus dari suplay 15 volt lewat relay masuk ke kaki collector terus ke emitor dan trakhir ke ground, karna relay dapat arus maka switchnya berpindah kekiri, maka arus akan putus dan motor dc akan bergerak.
[KEMBALI KE MENU SEBELUMNYA] DAFTAR ISI 1. Pendahuluan 2. Tujuan 3. Alat dan Bahan 4. Dasar Teori 5. Percobaan a) Prosedur b) Rangkaian Simulasi dan Prinsip Kerja c) Video Simulasi 6. Download File TUGAS BESAR LINE FOLLOWER 1. Pendahuluan [kembali] Dalam era teknologi yang terus berkembang serta dalam konteks industri dan tekologi yang modern, kebutuhan akan sistem kontrol otomatis semakin meningkat karena dengan adanya sistem kontrol otomatis menjadi sangat penting untuk meningkatkan efisiensi dan produktivitas. Salah satu aplikasi yang menarik adalah line follower. Line follower adalah salah satu jenis robot yang dirancang untuk mengikuti garis tertentu yang telah ditentukan, biasanya berupa jalur berwarna kontras yang berbeda dengan latar belakang permukaan tempat garis tersebut berada. Prinsip kerjanya didasarkan pada penggunaan sensor untuk mendeteksi g...
[KEMBALI KE MENU SEBELUMNYA] DAFTAR ISI 1. Pendahuluan 2. Tujuan 3. Alat dan Bahan 4. Dasar Teori 5. Percobaan a) Prosedur b) Rangkaian Simulasi dan Prinsip Kerja c) Video Simulasi d) Download File 1. Pendahuluan [kembali] Pertanian merupakan sektor penting dalam pemenuhan kebutuhan pangan masyarakat. Namun, berbagai tantangan masih sering dihadapi oleh para petani, seperti serangan hama yang merusak tanaman serta pengelolaan penyiraman yang belum optimal. Hama dapat menyerang secara tiba-tiba dan dalam waktu singkat menyebabkan kerusakan serius pada tanaman, sedangkan penyiraman yang tidak teratur dapat menghambat pertumbuhan tanaman, bahkan menyebabkan tanaman mati akibat kekurangan atau kelebihan air. Untuk mengatasi permasalahan tersebut, diperlukan suatu sistem yang mampu membantu dalam mendeteksi keberadaan hama sekaligus mengatur proses penyiraman tanaman s...
Modul 3 [KEMBALI KE MENU SEBELUMNYA] DAFTAR ISI 1. Pendahuluan 2. Tujuan 3. Alat dan Bahan 4. Dasar Teori 5. Video Simulasi 6. Percobaan Percobaan ... A. Differentiator Amplifier B. Integrator Amplifier C. Comparator Amplifier D. Inverting Op-Amp E. Non Inverting Op-Amp MODUL 3 OPERATIONAL AMPLIFIER 1. Pendahuluan [Kembali] Operational amplifier atau op-amp adalah komponen penguat sinyal listrik dengan dua input: inverting (−) dan non-inverting (+), serta satu output. Kedua jenis input ini memainkan peran penting dalam berbagai aplikasi elektronika, terutama dalam pengolahan sinyal, pencampuran audio, dan berbagai sistem kontrol. Pada adder inverting, beberapa sinyal input diberikan melalui resistor-resistor yang terhubung ke terminal inverting (-) op-amp. Dalam konfigurasi ini, sinyal-sinyal input dijumlahkan secara linear, namun keluaran yang dihasilkan memiliki polaritas yang berlawanan (fase terbalik) dengan sinyal input, karen...
Komentar
Posting Komentar